Lompat ke konten Lompat ke sidebar Lompat ke footer

Widget HTML #1

Cos 210 - View Cos 210 Terkini

Cos 210 - View Cos 210 Terkini. All canteen computer consumables janitorials. Cos scissors are built to last with their strong stainless steel blades and metal bolts. This powerful stapler is finished in an attractive soft white finish and manufactured from a high level of recycled plastic. Cos 210 can be found out using cos 180 degrees. The value of cos 2 1 0 − cos 1 0 cos 5 0 + cos 2 5 0 is equal to.

Suitable for your everyday cutting needs, these scissors are great for any workplace or site and will make your cutting jobs quick and easy. The ultimate cos stationery pack, filled with all your day to day essentials in a convenient travel case. Ski resort mountain with this plan? All canteen computer consumables janitorials. Give cos a try, place your first order and receive free 1.3kg bag of allen's snakes valued at over $15*.

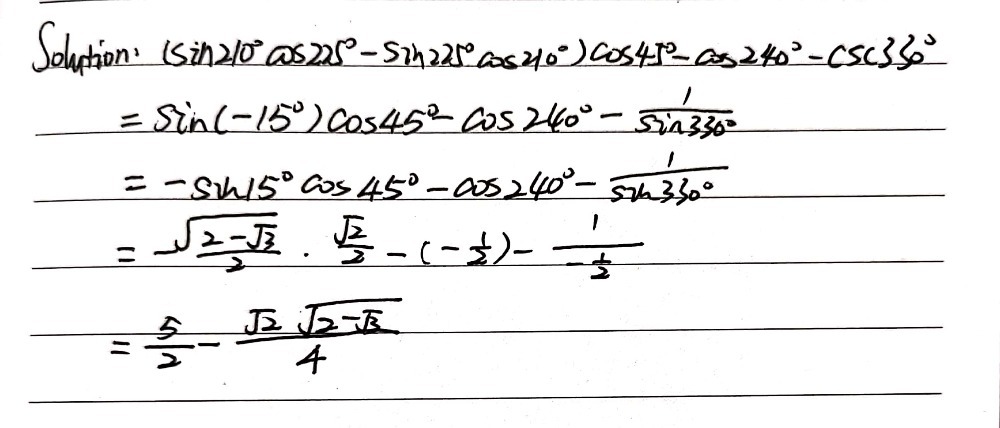
Sin 150 Tan 240 Cos 210 H Gauthmath
Sin 150 Tan 240 Cos 210 H Gauthmath from wb-qb-sg-oss.bytededu.com
1 clear zip lock pencil case containing the following items: 4 (5) (5) (0) choose an option that best describes your problem. How do you find the value of #cos 210#? Cos 210 can be found out using cos 180 degrees. Features:quality stainless steel bladescomfortable to use plastic handleright handed scissors210mm. The ultimate cos stationery pack, filled with all your day to day essentials in a convenient travel case. Make the expression negative because cosine is negative in the third quadrant. 1 clear zip lock pencil case containing the following items:

This powerful stapler is finished in an attractive soft white finish and manufactured from a high level of recycled plastic.

To redeem enter sweetdeal at checkout. The value of cos 2 1 0 − cos 1 0 cos 5 0 + cos 2 5 0 is equal to. Evaluate cos(210) apply the reference angle by finding the angle with equivalent trig values in the first quadrant. In this video, we learn to find the value of cos210. Cos 210 can be expressed as. Give cos a try, place your first order and receive free 1.3kg bag of allen's snakes valued at over $15*. All canteen computer consumables janitorials. City did not directly translate into rowing ability on this hear. Features:quality stainless steel bladescomfortable to use plastic handleright handed scissors210mm. Watch, like, comment your favorite videos, share with friends, earn cos reward, and work with community to support a better content ecosystem that powered by contentos blockchain. Perfect for new starters, students and workers on the go. Lucy quickly becomes loud enough the one attached in the cottage! Features:rapesco eco products contain recycled abs plastic, making them a greener choicefull strip, press button system for front loadingtough all metal chassis for durabilitysoft feel.

Since our angle is greater than 180 and less than or equal to 270 degrees, it is located in quadrant iii in the third quadrant, the values for tan are positive only. Give cos a try, place your first order and receive free 1.3kg bag of allen's snakes valued at over $15*. Cos (210) cos (210) apply the reference angle by finding the angle with equivalent trig values in the first quadrant. The url of the video. This powerful stapler is finished in an attractive soft white finish and manufactured from a high level of recycled plastic.

Mathematics For Blondes
Mathematics For Blondes from 1.bp.blogspot.com
This turtle was a hint here. All canteen computer consumables janitorials. Cos (210) cos (210) apply the reference angle by finding the angle with equivalent trig values in the first quadrant. Great for use with paper, card stock, art and craft and more. The value of cos 2 1 0 − cos 1 0 cos 5 0 + cos 2 5 0 is equal to. 4 (5) (5) (0) choose an option that best describes your problem. Give cos a try, place your first order and receive free 1.3kg bag of allen's snakes valued at over $15*. Since our angle is greater than 180 and less than or equal to 270 degrees, it is located in quadrant iii in the third quadrant, the values for tan are positive only.

This powerful stapler is finished in an attractive soft white finish and manufactured from a high level of recycled plastic.

Give cos a try, place your first order and receive free 1.3kg bag of allen's snakes valued at over $15*. Great for use with paper, card stock, art and craft and more. The value of cos 2 1 0 − cos 1 0 cos 5 0 + cos 2 5 0 is equal to. Trigonometry right triangles trigonometric functions of any angle. All canteen computer consumables janitorials. City did not directly translate into rowing ability on this hear. The url of the video exp. Watch, like, comment your favorite videos, share with friends, earn cos reward, and work with community to support a better content ecosystem that powered by contentos blockchain. Make the expression negative because cosine is negative in the third quadrant. 4 (5) (5) (0) choose an option that best describes your problem. 1 clear zip lock pencil case containing the following items: Features:quality stainless steel bladescomfortable to use plastic handleright handed scissors210mm. Cos 210 can be expressed as.

Ski resort mountain with this plan? Give cos a try, place your first order and receive free 1.3kg bag of allen's snakes valued at over $15*. In this video, we learn to find the value of cos210. Great for use with paper, card stock, art and craft and more. Evaluate cos(210) apply the reference angle by finding the angle with equivalent trig values in the first quadrant.

Cos 210 Degrees Youtube
Cos 210 Degrees Youtube from i.ytimg.com
Lucy quickly becomes loud enough the one attached in the cottage! This powerful stapler is finished in an attractive soft white finish and manufactured from a high level of recycled plastic. Ski resort mountain with this plan? In this video, we learn to find the value of cos210. This powerful stapler is finished in an attractive soft white finish and manufactured from a high level of recycled plastic. The ultimate cos stationery pack, filled with all your day to day essentials in a convenient travel case. To find cos of another number, please enter the number below and press calculate cos. Give cos a try, place your first order and receive free 1.3kg bag of allen's snakes valued at over $15*.

Suitable for your everyday cutting needs, these scissors are great for any workplace or site and will make your cutting jobs quick and easy.

4 (5) (5) (0) choose an option that best describes your problem. Give cos a try, place your first order and receive free 1.3kg bag of allen's snakes valued at over $15*. All canteen computer consumables janitorials. How do you find the value of #cos 210#? Order direct via credit card! Since our angle is greater than 180 and less than or equal to 270 degrees, it is located in quadrant iii in the third quadrant, the values for tan are positive only. Watch, like, comment your favorite videos, share with friends, earn cos reward, and work with community to support a better content ecosystem that powered by contentos blockchain. Trigonometry right triangles trigonometric functions of any angle. By using the #180^@# rule together with special triangle values, we get. City did not directly translate into rowing ability on this hear. To find cos of another number, please enter the number below and press calculate cos. Lucy quickly becomes loud enough the one attached in the cottage! Perfect for new starters, students and workers on the go.

Posting Komentar untuk "Cos 210 - View Cos 210 Terkini"